Vědci zkoumali, nakolik lze chemickou vazbu v aromatickém kruhu napínat a kroutit, než se zcela přeruší a molekula o svůj aromatický charakter přijde. Za tímto účelem připravovali deriváty aromatické sloučeniny tak, že na kruhu prováděli substituce vodíku za různé objemné skupiny. Ty měly problém se vedle sebe vůbec vejít, což vedlo k tomu, že se původní rovinná molekula začala deformovat.
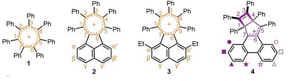
Za základ si chemici z Durhamské univerzity a Univerzity v Yorku vzali tropylium, kde kruh má o jeden atom uhlíku víc než benzen – to aby se dalo vedle sebe nacpat až 7 skupin. Kationt Tropylium C7H7+ je aromatická sloučenina (viz počet pi elektronů 4n + 2, zde přímo shodný s benzenem). Nejprve, při „malém přeplnění“ se kruh napínal, ale aromatický charakter molekuly zůstal zachován. Při postupném přidávání stále objemnějších skupin se v jeden okamžik míra zkroucení ukázala s aromatickým charakterem dál neslučitelnou. Vznikly dva menší ploché prstence, stále ovšem propojené do jediné molekuly, asi jako přehnutý papír.
Vědci ke svému překvapení také zjistili, že existuje rovnovážný bod, kdy prstenec přeskakuje mezi aromatickou strukturou a dvěma menšími prstenci. Jedna molekula vytvořená v rámci této studie stráví 90 % času jako „přeložená“ struktura a 10 % času jako napnutý větší aromatický kruh.
„Vratné sevření a opětovné otevření aromatického kruhu je skutečně pozoruhodné. Aromatická vazba je tak mocná stabilizační síla, že si obvykle myslíme, že je přítomna neustále. Naše zjištění však ukazují, že může být překvapivě dynamická,“ uvedl hlavní řešitel projektu Promeet Saha z Durhamské univerzity. Výsledkem by mohly být systémy, jejichž aromatický charakter půjde zapínat (vypínat) řízeně a vratně.
Paul McGonigal, Rupturing aromaticity by periphery overcrowding, Nature Chemistry (2023). DOI: 10.1038/s41557-023-01149-6. www.nature.com/articles/s41557-023-01149-6
Zdroj: Durham University / Phys.org

Postupné předávání více a stále objemnějších skupin. 3 a 4 představuje přechod mezi aromatickou fází a vznik molekuly se dvěma kruhy.
Credit: Rupturing Aromaticity by Periphery Overcrowding. Pre-print: https://assets.researchsquare.com/files/rs-1347057/v1_covered.pdf?c=1646753973
Sciencemag.cz

„Za základ si chemici z Durhamské univerzity a Univerzity v Yorku vzali tropylium, kde kruh má o jeden atom vodíku víc než benzen“
Asi je důležitější, že má o jeden atom uhlíku víc. Stejně pak pracují s kationtem.
dekuji. holt chybu dokazu udelat i v sebeelementarnejsim textu. no budiz, ale neschopnost to pak videt pri precteni, to je opravdu hanba.